现将我校2025年全日制本科招生专业校考、戏曲类(越剧)省际联考、华侨港澳台录取名单予以公布。
近期,我校将按上级招生主管部门审核通过的正式录取名单办理录取手续,并寄发录取通知书。
附件1:2025年全日制本科招生
专业校考录取名单
作曲与指挥系
音乐学系
音乐教育学院
左右滑动查看更多
钢琴系
左右滑动查看更多
声乐歌剧系
左右滑动查看更多
国乐系
左右滑动查看更多
管弦系
左右滑动查看更多
流行音乐系
左右滑动查看更多
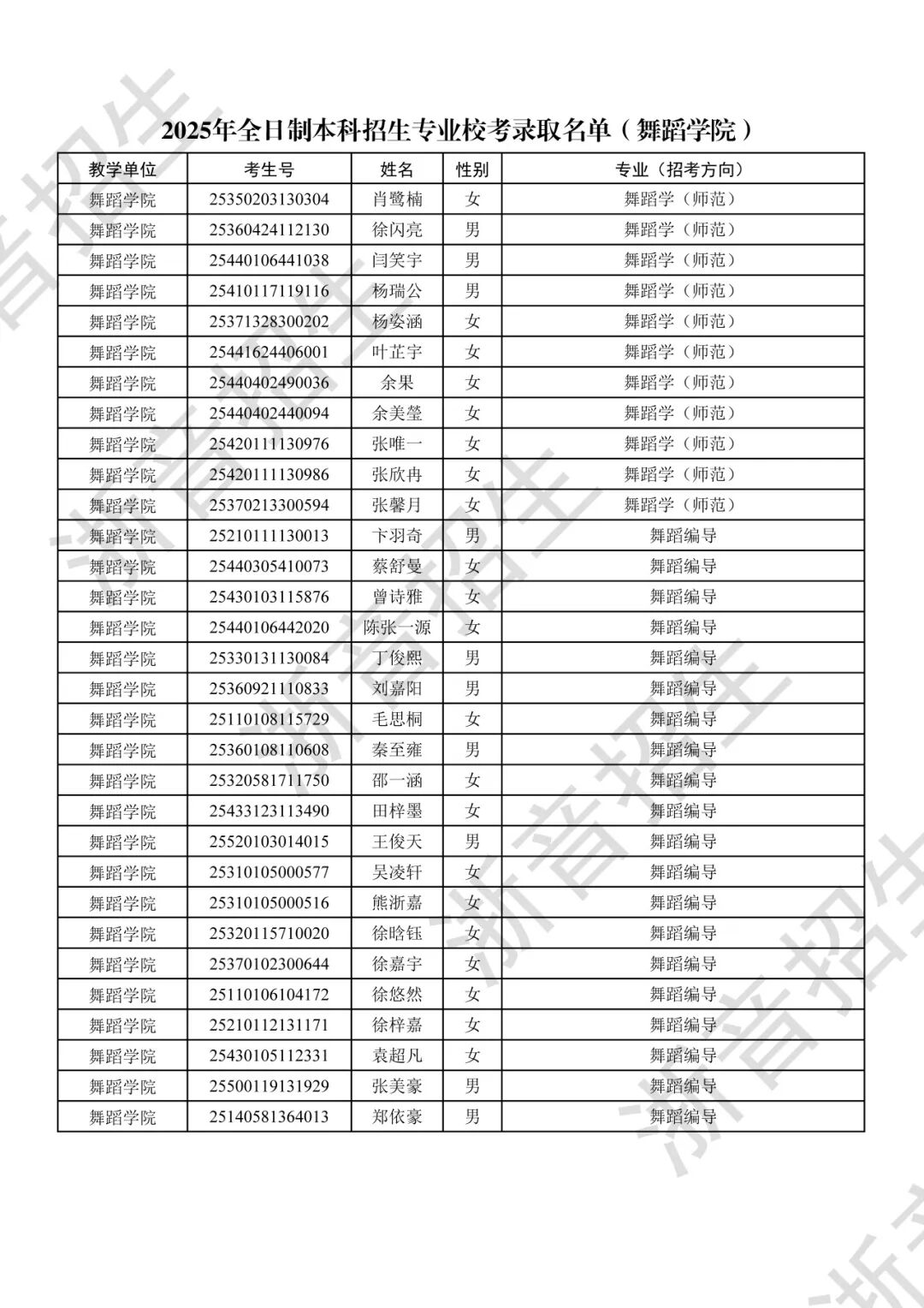
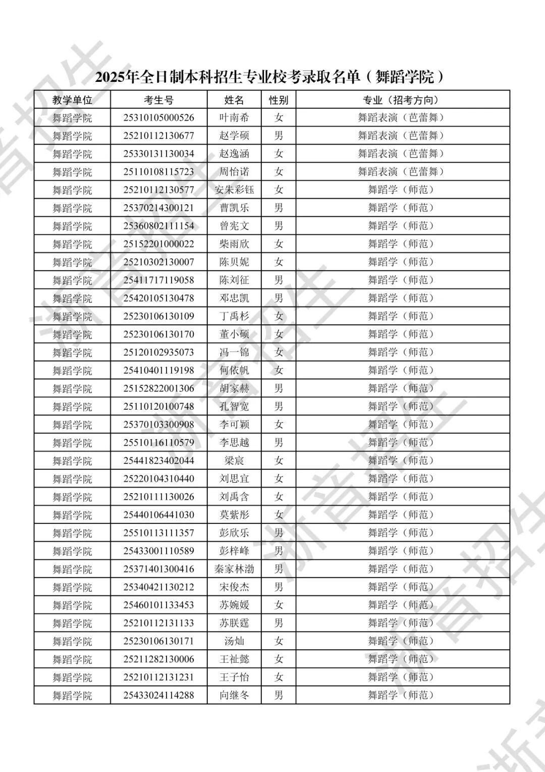
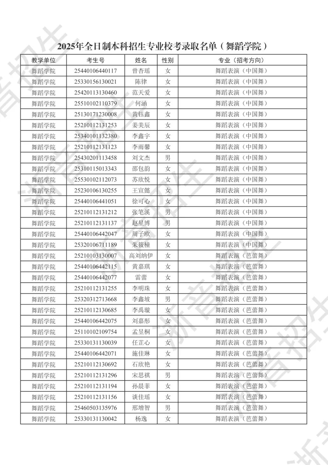
舞蹈学院
左右滑动查看更多
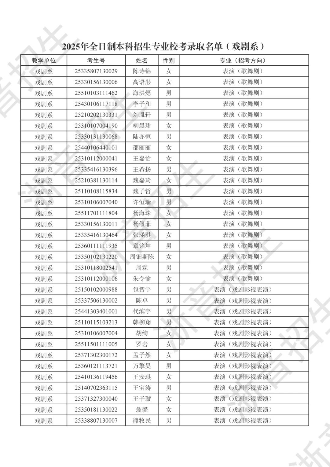
戏剧系
左右滑动查看更多
音乐工程系
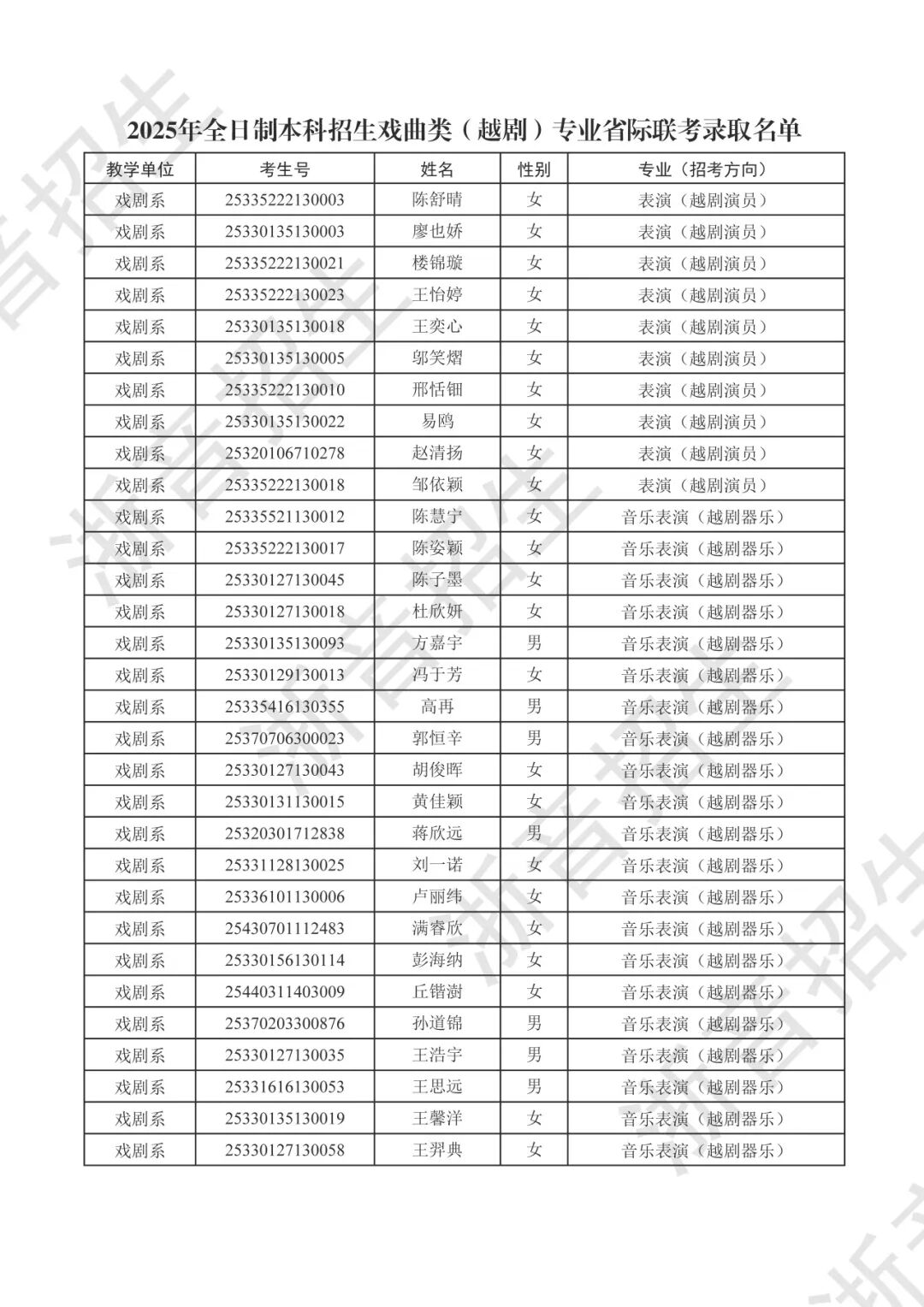
附件2:2025年全日制本科招生
戏曲类(越剧)专业省际联考录取名单
左右滑动查看更多
附件3:2025年全日制本科招生
华侨港澳台录取名单

